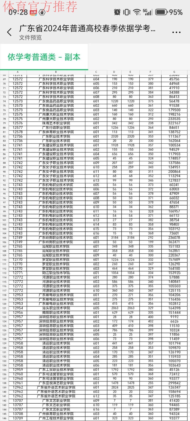
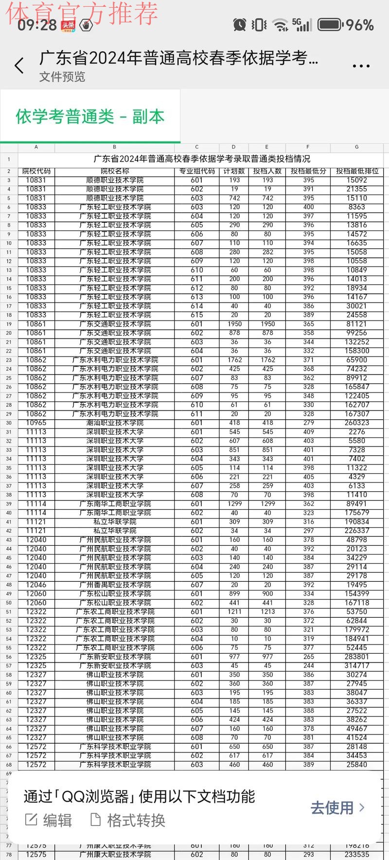
新闻资讯

百分之百准的预测,广东只能排第四

2026-02-05T03:51:26+08:00

百分之百准的预测并不在于结果有多惊天动地,而在于你是否看懂了趋势背后的逻辑。当一句“百分之百准的预测,广东只能排第四”在网络上流传时,很多人第一反应是情绪:有人替广东“打抱不平”,有人拍手叫好,还有人搬出各种数据试图“反驳命运”。但如果暂且放下情绪,把这句话当成一个分析命题——为什么是“第四”,而不是“第一”或“第十”?谁在前面,谁在后面?那个“只能”又意味着什么?我们会发现,这不只是一句地域排名的口号,而是对城市竞争格局、产业结构升级和人口流向的一次冷静拆解。

广东只能排第四,隐含着一个前提:我们在讨论的是一个综合维度,而不是单一指标的排名。如果只是看经济总量,广东多年稳居全国前列;如果只看外贸活跃程度,广东依然是当之无愧的“外贸大省”;但当我们把“创新力、产业结构、人口质量、发展韧性、空间潜力”等要素揉在一起时,所谓“第四”的预测就变成了一种更接近现实的判断。它不是对广东的贬低,而是一种对新一轮城市竞争规则的重新排序。

百分之百准的预测,广东只能排第四

首先要看清的是,传统的GDP崇拜已经不足以解释未来的区域竞争力。过去很长一段时间,“发展好不好”基本等同于“GDP排第几”,广东在这套逻辑里几乎是教科书般的存在:改革开放前沿、制造业大省、外向型经济样板。随着数字经济崛起、硬科技加速突破、国际产业链重构,仅仅做“大”已经不够,还要做“强”和“新”。当全国进入“拼内功”的阶段,单纯依靠“规模优势”的地区,难免在综合排序中被一些创新驱动更强、战略布局更系统的省份超越或追平。于是,一个总量依旧领先的广东,在综合竞争力上排名“第四”,并不是矛盾,而是趋势的投射。

要理解“只能排第四”,就得看看“前三名”可能是谁,以及它们凭什么排在前面。以目前公开数据和发展路径推演来分析,北京、上海、江苏被频繁放入“前三”的讨论之中。北京的优势在于科技和政策高地,高校、科研院所、央企总部云集,在人工智能、芯片设计、量子信息等前沿领域有足够的话语权;上海的核心竞争力是国际金融中心与全球资源配置能力,加上自贸区、科创板等制度创新,让它在全球城市体系中拥有独特位置;江苏则以“制造业高端化+科教资源+均衡发展”著称,苏南苏中苏北梯度清晰,产业链配套完整,新兴产业与传统产业协同升级。这三者在未来很长一段时间内,很可能继续在综合竞争力上领跑全国。

百分之百准的预测,广东只能排第四

在这样的对比下,再看广东的处境就清晰多了。广东的“第四”不是掉队,而是从“绝对领跑”回到“强者中的一员”。它依旧拥有不可忽视的优势:珠三角庞大而成熟的产业集群、深圳作为硬科技创新引擎、广州在综合服务和教育医疗上的稳步提升、东莞佛山等制造业基础雄厚的城市群效应。但与此一些制约也在被放大:区域发展不均衡、产业高端环节掌握不足、本土科技巨头多偏应用层而非底层技术、土地和劳动力成本不断上升等。当各地都在“高质量发展”赛道上加速时,广东的相对优势被缩小,综合排名自然会出现“从前列向中前段微调”的走势。

百分之百准的预测,广东只能排第四

一个经常被忽略的事实是,“第四”本身也是一个需要实力才能占住的位置。在全国范围内,能真正参与“前四之争”的省份并不多,绝大部分地区更需要考虑的是如何跳出“中游陷阱”,在某个领域形成清晰的比较优势。当有人用一种戏谑的口吻说“百分之百准的预测,广东只能排第四”时,如果你认真把这句话拆开,会发现它其实折射出的是对广东长期竞争力的肯定——不是昙花一现的第一,而是能够在新格局中稳稳占据一个关键坐标。从战略视角来看,稳定的“第四”往往比波动剧烈的“第一”更具发展韧性。

要让这个预测更具说服力,还需要从产业和城市案例层面进行拆解。以粤港澳大湾区为例,这是广东综合竞争力的最大舞台,也是检验“第四”含金量的关键场景。深圳在电子信息、新能源、通信设备等领域已经形成完整产业链,但在基础科学突破、核心原创技术上仍需要更多时间积累;广州在汽车制造、生物医药和文化创意上布局深入,却面临旧城改造、产业转型节奏与城市更新协调的挑战;佛山、东莞等地虽仍是制造业“铁三角”中的重要一角,却不得不正视“全球订单转移”和“本地成本上升”的现实压力。这些城市综合起来,构成了广东的底牌,也暴露出广东在迈向更高维度竞争中的“隐痛”。正是在这一张张案例的叠加中,“只能排第四”从一句口号,变成了一种有数据和事实支撑的分析结论。

人口流动也是评价综合竞争力不可忽视的维度。过去几十年,“到广东打工”几乎是一代人共同的记忆,人口净流入曾是广东最硬的底气之一。但近年,我们看到一种新的趋势:更多高学历年轻人开始在选择城市时,更看重科研氛围、创新平台、生活品质、公服务水平,而不只是“工资高不高”。这一标准之下,北京、上海、深圳仍具吸引力,但一些新一线城市和中西部省会也在崛起,分流了原本会集中涌向广东的部分人口。粤东西北地区的人口外流问题仍未完全缓解,区域间发展差距在一定程度上拖累了广东的整体“人口竞争力评分”。当人才的迁徙逻辑改变,广东如何从“人口红利”转向“人才红利”,就成了决定它能否从“第四”向上突破的关键命题。

更深层的变量在于制度与创新生态。北京、上海等地在国家战略布局中拥有天然的制度试验优势,在科研体制改革、金融开放、数据要素流通等关键领域,往往能率先获得政策试点;江苏则在营商环境、地方财政可持续性、制造业数字化转型上形成了可复制的范例。相比之下,广东虽然在市场化程度和民营经济活力方面有明显优势,但在新一轮制度创新的“先手棋”上,并非每一局都占上风。当未来竞争从“拼项目”转为“拼规则”“拼生态”时,广东若只是依赖既有的开放传统和产业集群,而在数字治理、绿色发展、知识产权保护等方面行动稍慢,就很容易被“前三”拉开半个身位。于是,排名上的“第四”就显得既合理又带着一丝警示意味。

从预测方法的角度看,“百分之百准的预测”本身当然是一种修辞夸张——任何关于未来的判断都不可能真正达到百分之百。但这句话之所以能引发讨论,是因为它背后抓住了几个大概率不会逆转的方向:高质量发展取代粗放增长、科技创新决定长期竞争力、人口与人才结构重塑区域格局、制度供给成为核心变量。在这几个方向上,广东既有领先基础,又面临激烈追赶;既有成功经验,又有路径依赖。当我们在这样的框架下去理解那句“只能排第四”,就会明白:这是一个针对“当前路径不做根本调整”的静态推演,而不是对广东未来注定天花板的盖棺论定。

真正值得思考的问题或许是:当所有指标都趋于同质化竞争时,广东的独特性在哪里?如果说北京的标签是“国家科技与政治中心”,上海是“全球城市与金融枢纽”,江苏是“高端制造与区域均衡样本”,那么广东要以什么身份参与未来的全球竞争?是继续深挖“世界工厂2.0”的潜力,还是用粤港澳大湾区重塑“国际创新走廊”的认知?是以数字贸易、跨境电商和海洋经济为突破口,打造新型开放格局?这些选择,将决定那句“广东只能排第四”最终会不会变成“广东至少能排第四”,甚至在某些维度上重回领军者的位置。

百分之百准的预测,广东只能排第四

当我们再次谈起“百分之百准的预测,广东只能排第四”时,最好把它看作一个倒逼思考的命题,而非一张冷冰冰的“成绩单”。它提醒人们:任何区域的辉煌都不是一次性获得的,而是需要不断在新赛道上重建优势;也提醒广东自身:过去的成功经验值得珍惜,但若以此为护身符而不是跳板,终有一天会被后来者追上甚至反超。在竞争愈发激烈、变量快速叠加的新时代,“第四”既是对既有实力的肯定,也是对未来转型的倒计时。而真正聪明的区域,从不会在意一时的名次,而是会在看似“只能第四”的格局中,悄悄积蓄下一次跨越的力量。

分享至

需求表单t